Class 11 Physics Sample Paper 2026 with Solutions (PDF Download)

Class 11 Physics Sample Paper 2026
General Instructions
1. There are 33 questions in all. All questions are compulsory.
2. This question paper has five sections: Section A, Section B, Section C, Section D and Section E.
3.All the sections are compulsory.
4. Section A contains sixteen questions, twelve MCQ and four assertion reasoning based of 1 mark each, Section B contains five questions of two marks each , Section C contains seven questions of three marks each, Section D contains two case study based questions of four marks each and Section E contains three long answer questions of five marks each.
5. There is no overall choice. However, an internal choice has been provided in two questions in Section B, one question in Section C and all three questions in Section E. You have to attempt only one of the choices in such questions.
6. Use of calculators is not allowed. You may use the following values of physical constants where ever necessary.
Q1. Which of the following is NOT a rule for arithmetic operations with significant figures?
(A) In multiplication or division, the final result should retain as many
significant figures as in the original number with the least significant figures.
(B) In addition, or subtraction, the final result should retain as many decimal places as in the number with the least decimal places.
(C) In addition, or subtraction, the final result should retain as many
significant figures as in the original number with the least significant figures.
(D) Exact numbers in formulae have an infinite number of significant
figures.
Answer: (C) In addition or subtraction, the final result should retain as many significant figures as in the original number with the least significant figures.
Q2.Match the type of motion in Column I with the corresponding characteristic of its x – t graph in Column II.

(A) 1 -Q, 2- R, 3- S, 4- P
(B) 1- S, 2- P, 3- Q, 4- R
(C) 1 -Q, 2- P, 3- S, 4 -R
(D) 1- R, 2- S, 3- P, 4 -Q
Answer : (A) 1–Q, 2–R, 3–S, 4–P
Q3.The horizontal component of a projectile’s velocity, in the absence of air resistance:
(A) Continuously increases throughout its flight path.
(B) Continuously decreases until it reaches its maximum height.
(C) Remains constant throughout its flight path.
(D) Becomes zero at the peak of its trajectory.
Answer: C) Remains constant throughout its flight path.
Explanation:
In projectile motion (neglecting air resistance):
- The only force acting is gravity, which acts vertically downward.
- There is no horizontal force acting on the projectile.
- Therefore, horizontal acceleration = 0.
Since acceleration in the horizontal direction is zero: vx=ux=constant
Q4.A bird weights 2N sitting inside a cage of weight 1 N . If it starts flying then what is weight of bird and cage assembly?
(A ) 1.5 N B ) 3 N C ) 2.5 N D ) 4 N
Answer : (B) 3 N
Explanation:
- Weight of bird = 2 N
- Weight of cage = 1 N
Total weight when bird is sitting: 2+1=3 N
Q5. Which of the following pairs correctly matches a physical concept with its characteristic?
(A) Inelastic Collision: Kinetic energy is conserved.
(B) Conservative Force: Work done in a closed loop is non zero.
(C) Power: Unit is Joule.
(D) Work: Can be negative.
Answer : (D) Work: Can be negative.
Q6.If the linear momentum is increased by 50%, then kinetic energy will increase by
(A ) 50% B ) 100% C ) 125% D ) 25%
Answer: (C) 125%

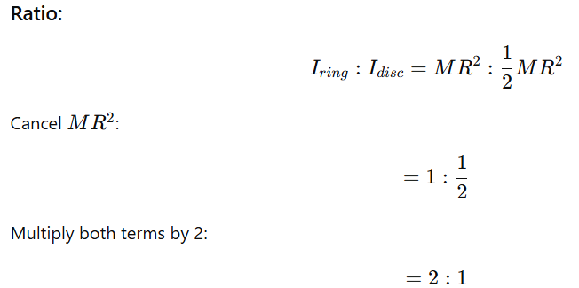
Q7.One circular ring and one circular disc both having same mass and radius. The ratio of their moment of inertia about the axis passing through their centers and perpendicular to their planes will be
A ) 1 : 1 B ) 2 : 1 C ) 1 : 2 D ) 4 : 1
Answer: B ) 2 : 1

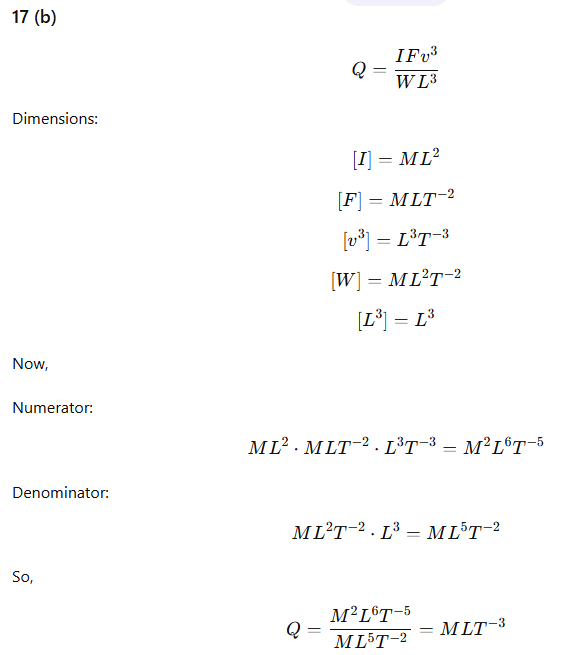
Q8.Energy required to move a satellite of mass m from an orbit of radius 2R to 3R is, (M mass of earth)

Answer:


Q9.The stress strain graph for these materials is shown in the figure. (Assume scale is same for both graph)

(A) Material (ii) is more elastic than material (i) and hence material (ii) is more brittle.
(B)Material (i) & (ii) have the same elasticity and the same brittleness.
(C) Material (ii) is elastic over the larger region of strain as compared to (i)
(D) Material (ii) is more brittle than material (i)
Answer :
Q10.Why does water at the bottom of a lake remain at400𝐶 even when the surface
freezes?
(A) Water has a low specific heat capacity.
(B) Water has maximum density at 400𝐶.
(C) Ice is denser than water.
(D) The ground keeps the bottom warm.
Answer : (B) Water has maximum density at 4°C.
Water shows an unusual property called anomalous expansion.
- As water cools down from higher temperatures, it becomes denser.
- At 4°C, water reaches its maximum density.
- When cooled below 4°C, it becomes less dense and rises to the surface.
- The surface water then freezes at 0°C.
- Ice (being less dense) floats and forms a layer on top.
Q11.In an isothermal expansion of an ideal gas, what is the relationship between heat supplied (Q) and work done (W) by the gas?
(A)Q= W (B) Q =W (C) Q = ∆ U (D) W ∆U
For an isothermal process (constant temperature) in an ideal gas:
- Temperature remains constant.
- Internal energy U of an ideal gas depends only on temperature.
- Since temperature does not change:
ΔU= 0

Q12.The two ends of a metal rod are maintained at temperatures 100°C and 110°C. The rate of heat flow in the rod is found to be 4.0 J/s. If the ends are now maintained at temperatures 200°C and 210°C, the rate of flow of heat will be
(A ) 16.8 J/s B ) 8.0 J/s C ) 4.0 J/s D ) 44.8 J/s
Answer: C ) 4.0 J/s
Questions number 16 to 18 are Assertion (A) and Reason (R) type questions. Two statements are given one labelled Assertion (A) and the other labelled Reason (R). Select the correct answer from the codes (a), (b), (c) and (d) as given below.
(a) Both Assertion (A) and Reason (R) are true and Reason (R) is the correct explanation of the Assertion (A).
(b) Both Assertion (A) and Reason (R) are true, but Reason (R) is not the correct explanation of the Assertion (A).
(c) Assertion (A) is true, but Reason (R) is false.
(d) Assertion (A) is false and Reason (R) is also

13.Answer : (B) Both A and R are true, but R is not the correct explanation of A.
Assertion (A): Minimum number of non-equal vectors in a plane to give zero resultant is three.
True
Two vectors can give zero resultant only if they are equal and opposite.
Since the question says non-equal vectors, minimum required is three (forming a closed triangle).
Reason : If A⃗+B⃗+C⃗=0 then they must lie in one plane. true
14.Answer:(A) Both A and R are true and R is the correct explanation of A.
Assertion (A): Value of radius of gyration of a body depends upon axis of rotation.
True
Changing the axis changes distribution of mass relative to that axis, so radius of gyration changes.
Reason (R): Radius of gyration is the root mean square distance of particles of the body from the axis of rotation.True k2=∑mr2/M

15. Answer :(A) Both A and R are true and R is the correct explanation of A.
16.Answer :(B) Both A and R are true, but R is not the correct explanation of A.
Class 11 Physics Sample Paper 2026


Answer :



Answer :


Class 11 Physics Sample Paper 2026

Answer:



Answer:


Answer :


Class 11 Physics Sample Paper 2026

Answer : (A) solve itself
(B)


Answer: Mass 2m attached (Atwood machine)
For system:

Pulled with constant force F=2mg
Since rope is massless and pulley ideal,



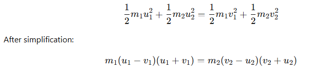
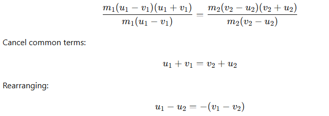
Answer : In an elastic one-dimensional collision, Relative velocity of approach=Relative velocity of separation

Conservation of Momentum

Conservation of Kinetic Energy

Divide KE equation by momentum equation







