
Class 10 Electricity Numericals | Most Important Questions for Board Exam
Q1. Three resistors 4 Ω, 6 Ω, 12 Ω are connected as follows:
4 Ω is in series, and 6 Ω & 12 Ω are in parallel with each other.
A 24 V battery is connected.
Find:
(a) Equivalent resistance
(b) Total current
(c) Current through 6 Ω and 12 Ω
Ans.

Q2.A wire of resistance 10 Ω is stretched to three times its original length.
Find its new resistance.
Ans. When length becomes 3 times, area becomes 1/3 times (volume constant).

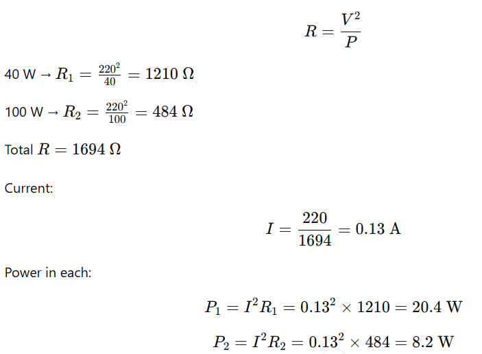
Q3.Two bulbs 40 W and 100 W are rated at 220 V.
They are connected in series across 220 V.
Find:
(a) Which bulb glows brighter?
(b) Power consumed by each bulb.
Solution:
Rated resistances:

40 W bulb glows brighter (20.4 W vs 8.2 W)
Class 10 Electricity Numericals | Most Important Questions for Board Exam
